如何利用低精度的公共气象预报高精度建模光伏出力的随机过程
Achieving an accurate random process model for PV power using cheap data leveraging the SDE and public weather reports
DOI: 10.17775/CSEEJPES.2021.09640
文章链接://ieeexplore.ieee.org/document/10375973
针对分布式光伏站点出力不确定性量化缺少高精度数值天气预报支撑的问题,a漫
邱一苇、清华大学林今、澳门大学戴宁怡、宋永华等结合参数化Jacobi扩散过程和机器学习方法,提出基于公共气象预报的光伏出力随机过程建模方法,在《CSEE Journal of Power and Energy Systems》发表论文“Achieving an accurate random process model for PV power using cheap data: leveraging the SDE and public weather reports”,经作者同意,与大家分享。
1.项目背景
基于随机微分方程(stochastic differential equation, SDE)的随机过程模型可同时刻画可再生发电连续变化的概率分布和时空相关性。因此,近年来已有大量研究将应用电力系统的动态不确定性量化和优化控制。然而,考虑到光伏出力随机过程的非时齐(non-homogeneous)性质,现有研究仍留有一个具有挑战性的问题尚未解决,即:如何为某具体运行日获得真实而准确的光伏出力 SDE 模型,以反映其当日受天气影响、非高斯、时序相关的不确定性。特别地,城市及农村地区大量小型分布式光伏站点受成本限制无法配置高分辨率数值天气预报 (numerical weather prediction, NWP) 或天空成像仪,其不确定性量化的难点进一步增大。若能在日前调度、实时控制阶段获得此类光伏站的随机过程模型,则可利用最新的随机过程优化控制方法,提升控制性能和经济收益。
2.论文解决问题及意义
为了填补上述空白,本文提出仅使用低分辨率公共天气预报数据构建光伏出力 SDE 建模方法,整体思路如图1所示。具体而言,对于每一运行日,采用依小时参数化的Jacobi扩散过程构建光伏出力波动的时序模式。其参数通过简单的机器学习模型由当日天气预报数据映射而来,以反映日内不断变化的气象条件。所提SDE模型可同时刻画光伏出力日内、小时内的不确定性。此外,所提模型可作为一系列最新提出的基于SDE的不确定性量化[1]和随机控制方法[2],[3],[4]的模型基础,而应用此类方法可获得较传统基于场景的随机优化控制方法更好的控制性能和更高的计算效率。

图1 本文研究整体思路图
参考文献
[1] Y. Qiu, J. Lin, X. Chen, et al. Nonintrusive uncertainty quantification of dynamic power systems subject to stochastic excitations. IEEE Trans. Power Syst., 2021, 36(1): 402-414
[2] X. Chen, J. Lin, F. Liu, et al. Optimal control of AGC systems considering non-Gaussian wind power uncertainty. IEEE Trans. Power Syst., 2019, 34(4): 2730-2743
[3] Y. Qiu, J. Lin, F. Liu, et al. Stochastic Online generation control of cascaded run-of-the-river hydropower for mitigating solar power volatility. IEEE Trans. Power Syst., 2020, 35(6): 4709-4722
[4] 周步祥, 吴晨旭, 邱一苇, 等. 计及光伏出力时序不确定性的电制氢多机集群优化调度[J]. 电力建设, 2023, 44(9): 108-117
3.论文重点内容
(1)计及日内气象条件变化的光伏出力随机过程模型
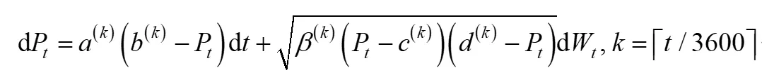
光伏功率在以晴空辐射为界的有限区间内连续变化。统计分析表明,光伏出力在超短期时间尺度上具有近似指数自相关性。为在连续时间轴上刻画上述特征,并体现日内气象条件变化导致的光伏出力不确定性的变化,构建参数化的Jacobi 扩散过程以建模光伏出力随机过程,如下:
其中a(k), b(k), β(k), c(k), d(k)为第k小时对应的SDE参数。通过设置不同参数,可刻画不同气象条件下光伏出力的时序不确定性,如图2所示。而若按照各小时的气象条件自动调整上述参数,即可描述日内气象变化条件时光伏出力不确定性随时间的变化,如图3所示。因此,在此基础上,若能将小时级分辨率的公共天气预报数据映射为Jacobi扩散过程参数,即可获得该日光伏出力的连续时间随机过程模型。

图2 不同气象条件下一小时光伏出力及对应的参数化SDE模型模拟结果

图3 参数化SDE模型模拟结果与实际光伏出力对比
(2)将天气预报映射至SDE模型参数
将运行日白天m小时的气象数据(包括温度、降水量、辐照强度、云量、风速、风向等)作为输入,求取其至该m小时SDE参数的映射。为此,首先分别基于伊藤等距(Itô’s isometry)原理和鞅似然估计(martingale likelihood estimation),估计训练集中各小时光伏出所对应SDE模型的参数。而后,如图2所示,通过ELM集成学习,构造气象数据到光伏出力SDE模型参数的映射。

图4 气象数据到SDE模型参数的映射结构
(3) 数值模拟分析
基于澳门大学屋顶光伏电站(图5)2019及2020全年出力数据、澳门地球物理暨气象局提供的同期1小时分辨率公共天气数据展开研究。所提 SDE 模型和若干基于深度学习的时间序列预测模型在测试集上的性能指标由表1给出。其中,所提模型在90%-PICP、K-L散度、0.9-risk、ND、自相关失配度等指标上表现最佳,且所提模型最佳指标数量最多。特别注意,由于所提模型中Jacobi扩散过程自身即包含光伏波动的时序模式,其精确建模所依赖的信息较机器学习更少,故其在重构光伏出力时序不确定性时较各深度学习模型更佳。

图5 本文研究所用澳门大学屋顶光伏电站
表1所提SDE模型与若干基于深度学习的时间序列预测模型性能对比

4.结论
本文提出了一种基于SDE的光伏出力连续时间随机过程建模方法。该模型仅依赖于公共天气预报,而无需高分辨率 NWP。与一系列基于深度学习的时间序列预测模型比较,所提模型结构更为简单,且基于澳门大学屋顶光伏电站数据的算例研究表明,在仅使用公共天气预报时,所提模型能够更准确地刻画光伏出力的时序波动。
引文信息
Y. Qiu, J. Lin, Z. Zhou, N. Dai, F. Liu and Y. Song, "Achieving an Accurate Random Process Model for PV Power Using Cheap Data: Leveraging the SDE and Public Weather Reports," in CSEE Journal of Power and Energy Systems, vol. 11, no. 1, pp. 124-135, January 2025,doi:10.17775/CSEEJPES.2021.09640.
作者介绍
邱一苇,a漫
副研究员,博士生导师,校“双百人才工程”引进人才。2018年获于浙江大学获博士学位。曾在清华大学电机系做博士后,并受澳门大学“濠江学者”计划资助于澳门大学智慧能源物联网国家重点实验室做博士后。主要从事电氢转换装置及电网接入、电力系统分析与控制等方面的研究工作,在国内外重要刊物与会议上发表论文70余篇,主持国家自然科学基金项目2项、国家重点研发计划子课题1项。入选中国电机工程学会第八届“青年人才托举工程”、四川省“天府峨眉计划”。